
|
型號 |
Dmax |
Tmax |
?d ±0.1 |
F1 ±1 |
F2 ±1.5 |
直腳 |
彎腳 |
Y型腳 |
|
|---|---|---|---|---|---|---|---|---|---|
|
L±1 |
L1±0.5 |
L2±2 |
L±1 |
||||||
|
NTC□D-13 |
15.5 |
6 |
0.75 |
7.5 |
5 |
2.8-20 |
2.8-20 |
7或4 |
2.8-20 |
| 型號 | R25 (Ω) |
最大 穩態電流 (A) |
殘余電阻* (Ω) |
耗散系數* (mw/°c) |
熱時間 常數* (s) |
最大允許 使用容量值 240V/120V(μF) |
B值 (K) |
工作溫度 (°c) |
阻值偏差 | 包裝方式 導線長短 |
產品外型 | 材料選擇 | 切腳 mm |
下載 | ||
|---|---|---|---|---|---|---|---|---|---|---|---|---|---|---|---|---|
| 封裝材料 | 引線 | 顏色 | ||||||||||||||
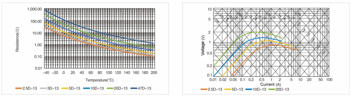
| 1.5D-13 | 1.5 | 7 | 0.080 | 約15 | 約68 | 680/2700 | 2600 | -40~ +200 | 黑色 | 下載 | ||||||
| 2.5D-13 | 2.5 | 6 | 0.088 | 約15 | 約68 | 680/2700 | 2600 | -40~ +200 | 黑色 | 下載 | ||||||
| 3D-13 | 3 | 6 | 0.092 | 約15 | 約68 | 680/2700 | 2600 | -40~ +200 | 黑色 | 下載 | ||||||
| 4.7D-13 | 4.7 | 5 | 0.12 | 約15 | 約68 | 680/2700 | 2700 | -40~ +200 | 黑色 | 下載 | ||||||
| 5D-13 | 5 | 5 | 0.125 | 約15 | 約68 | 680/2700 | 2700 | -40~ +200 | 黑色 | 下載 | ||||||
| 8D-13 | 8 | 4 | 0.194 | 約15 | 約68 | 330/1200 | 2800 | -40~ +200 | 黑色 | 下載 | ||||||
| 10D-13 | 10 | 4 | 0.206 | 約15 | 約68 | 330/1200 | 2800 | -40~ +200 | 黑色 | 下載 | ||||||
| 16D-13 | 16 | 3 | 0.335 | 約15 | 約68 | 220/820 | 2800 | -40~ +200 | 黑色 | 下載 | ||||||
| 18D-13 | 18 | 3 | 0.372 | 約15 | 約68 | 220/820 | 2800 | -40~ +200 | 黑色 | 下載 | ||||||
| 20D-13 | 20 | 3 | 0.372 | 約15 | 約68 | 220/820 | 2800 | -40~ +200 | 黑色 | 下載 | ||||||
| 30D-13 | 30 | 2.5 | 0.517 | 約15 | 約68 | 150/560 | 2950 | -40~ +200 | 黑色 | 下載 | ||||||
| 47D-13 | 47 | 2 | 0.81 | 約15 | 約68 | 150/560 | 2950 | -40~ +200 | 黑色 | 下載 |
說明:*表示參考值
阻值偏差:M:±20%;L:±15%定制
包裝方式/導線長短: B:散裝;C:切短腳散裝;T:編帶包裝
產品外型: S型:直腳;I型:內彎腳;O型:外彎腳;Y型:側彎腳
安規證書 : CQC 10001052520 | UL/CUL E319959 | TUV NO.B0016170001 Rev.02
質量管理證書:ISO9001: 2015Certificates | ISO14001: 2015Certificates
| 型號 | R25 (Ω) |
安規認證 | 型號 | R25 (Ω) |
安規認證 | ||||
|---|---|---|---|---|---|---|---|---|---|
| UL/CUL | CQC | TUV | UL/CUL | CQC | TUV | ||||
| 5D-5 | 5 | √ | √ | 1.5D-13 | 1.5 | √ | √ | ||
| 8D-5 | 8 | √ | 2.5D-13 | 2.5 | √ | √ | √ | ||
| 10D-5 | 10 | √ | √ | 3D-13 | 3 | √ | √ | √ | |
| 20D-5 | 20 | √ | √ | 4.7D-13 | 4.7 | √ | √ | √ | |
| 33D-5 | 33 | √ | √ | 5D-13 | 5 | √ | √ | √ | |
| 3D-7 | 3 | √ | 8D-13 | 8 | √ | √ | √ | ||
| 5D-7 | 5 | √ | √ | √ | 10D-13 | 10 | √ | √ | √ |
| 8D-7 | 8 | √ | √ | √ | 16D-13 | 16 | √ | √ | √ |
| 10D-7 | 10 | √ | √ | √ | 18D-13 | 18 | √ | √ | √ |
| 12D-7 | 12 | √ | √ | √ | 20D-13 | 20 | √ | √ | √ |
| 16D-7 | 16 | √ | √ | √ | 30D-13 | 30 | √ | √ | √ |
| 20D-7 | 20 | √ | √ | √ | 47D-13 | 47 | √ | √ | √ |
| 22D-7 | 22 | √ | √ | √ | 1D-15 | 1 | √ | ||
| 33D-7 | 33 | √ | √ | √ | 1.3D-15 | 1.3 | √ | √ | √ |
| 3D-9 | 3 | √ | √ | √ | 1.5D-15 | 1.5 | √ | √ | √ |
| 2.5D-9 | 2.5 | √ | 2.5D-15 | 2.5 | √ | √ | √ | ||
| 5D-9 | 5 | √ | √ | √ | 3D-15 | 3 | √ | √ | √ |
| 6D-9 | 6 | √ | √ | √ | 5D-15 | 5 | √ | √ | √ |
| 8D-9 | 8 | √ | √ | √ | 7D-15 | 7 | √ | √ | √ |
| 10D-9 | 10 | √ | √ | √ | 8D-15 | 8 | √ | √ | √ |
| 12D-9 | 12 | √ | √ | √ | 10D-15 | 10 | √ | √ | √ |
| 15D-9 | 15 | √ | 15D-15 | 15 | √ | √ | √ | ||
| 16D-9 | 16 | √ | √ | √ | 16D-15 | 16 | √ | √ | √ |
| 20D-9 | 20 | √ | √ | √ | 18D-15 | 18 | √ | √ | √ |
| 22D-9 | 22 | √ | √ | √ | 20D-15 | 20 | √ | √ | √ |
| 33D-9 | 33 | √ | √ | √ | 30D-15 | 30 | √ | √ | √ |
| 50D-9 | 50 | √ | √ | √ | 47D-15 | 47 | √ | √ | √ |
| 100D-9 | 100 | √ | 50D-15 | 50 | √ | √ | √ | ||
| 120D-9 | 120 | √ | √ | √ | 1.3D-20 | 1.3 | √ | √ | |
| 2.5D-11 | 2.5 | √ | √ | √ | 1.5D-20 | 1.5 | √ | ||
| 3D-11 | 3 | √ | √ | √ | 2.5D-20 | 2.5 | √ | √ | √ |
| 5D-11 | 5 | √ | √ | √ | 3D-20 | 3 | √ | √ | √ |
| 8D-11 | 8 | √ | √ | √ | 5D-20 | 5 | √ | √ | √ |
| 10D-11 | 10 | √ | √ | √ | 8D-20 | 8 | √ | √ | √ |
| 12D-11 | 12 | √ | √ | √ | 10D-20 | 10 | √ | √ | √ |
| 15D-11 | 15 | √ | √ | √ | 16D-20 | 16 | √ | √ | √ |
| 16D-11 | 16 | √ | √ | √ | 20D-20 | 20 | √ | ||
| 20D-11 | 20 | √ | √ | √ | 注: UL/CUL 證書號:E319959 CQC 證書號:10001052520 TUV 證書號:NO.B 001617 0001 Rev. 02 |
||||
| 33D-11 | 33 | √ | √ | √ | |||||
| 47D-11 | 47 | √ | √ | ||||||
| 50D-11 | 50 | √ | √ | √ | |||||